Задать свой вопрос   *более 50 000 пользователей получили ответ на «Решим всё»

Задача 80720 Помогите решить уравнения со степенью с...

Условие

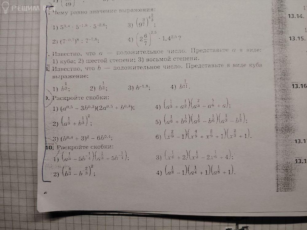
Помогите решить уравнения со степенью с рациональным показателем. Начать с номера где "раскрыть скобки"(9,10)

математика 10-11 класс 44

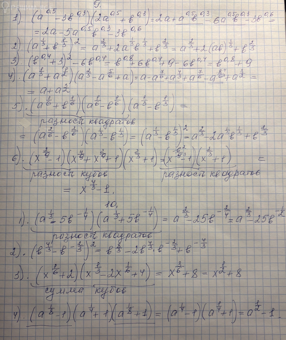
Решение

Написать комментарий

Меню

Присоединяйся в ВК