Задать свой вопрос
*более 50 000 пользователей получили ответ на «Решим всё»
Задача 80714
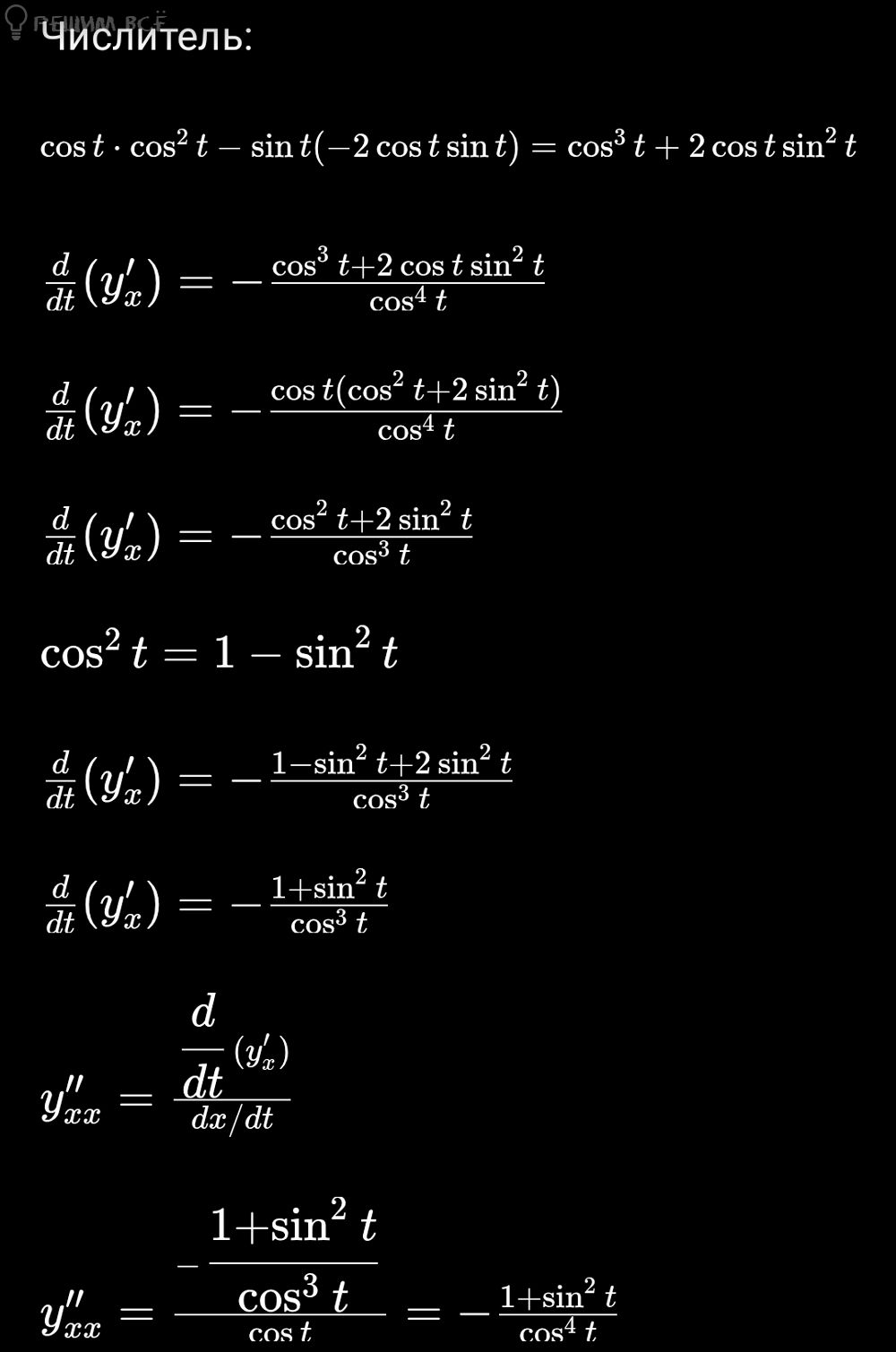
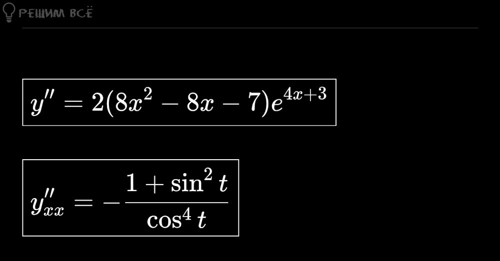
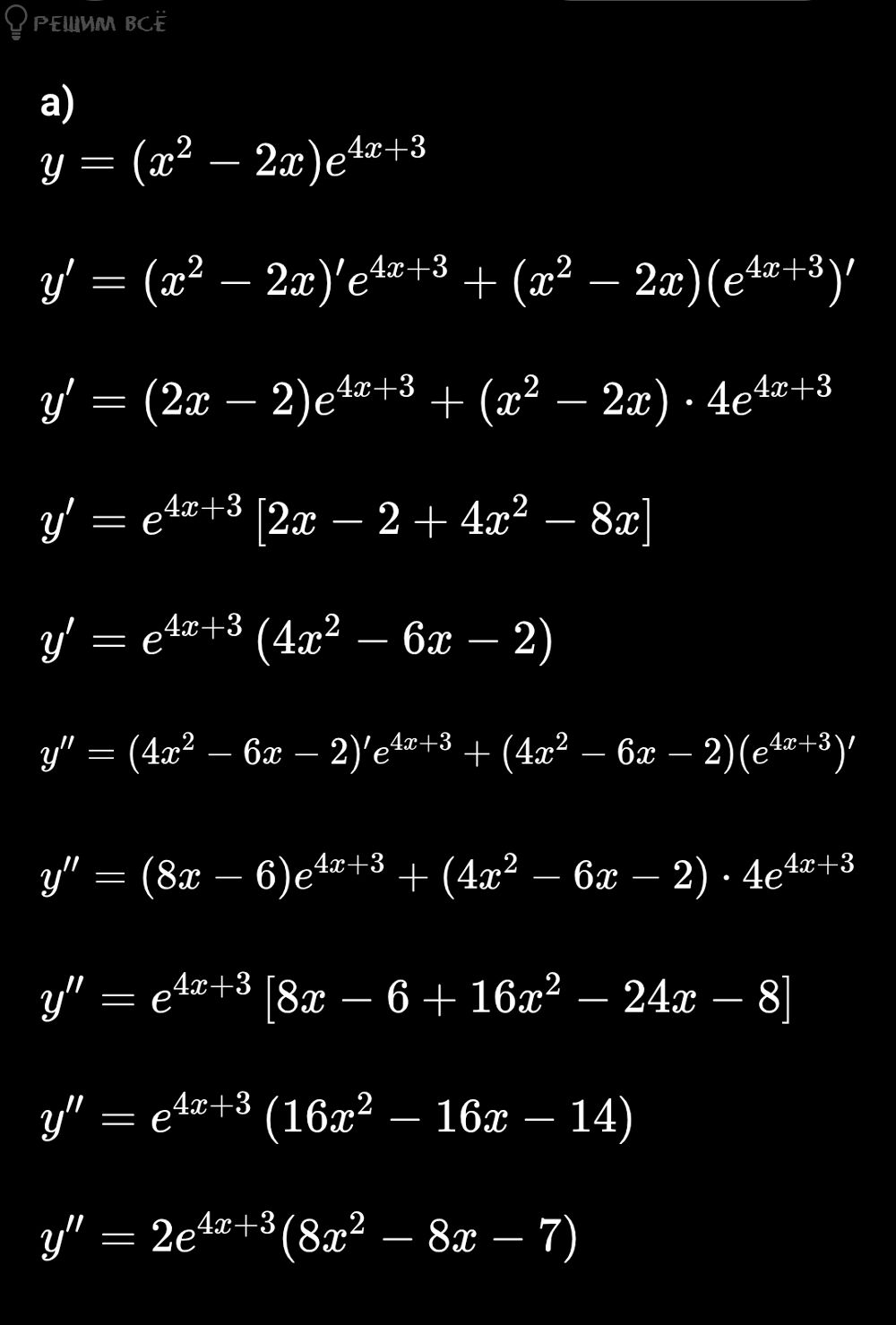
Найти вторую производную функции, 2...
Условие
695ec0b5928b994c33a2415c
1/17/2026 1:53:40 PM
Найти вторую производную функции, 2 функции.
математика ВУЗ
55
Решение
675fe0ac81699f399ffe47ad
1/18/2026 6:51:48 AM
★
Написать комментарий
Меню
Решим всё
Найти задачу
Категории
Статьи
Тесты
Архив задач
Присоединяйся в ВК