Задать свой вопрос
*более 50 000 пользователей получили ответ на «Решим всё»
Задача 80713
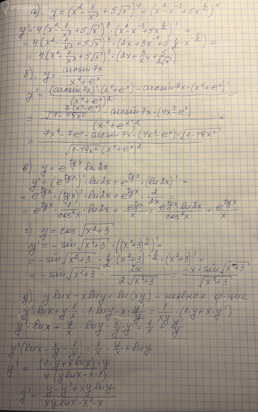
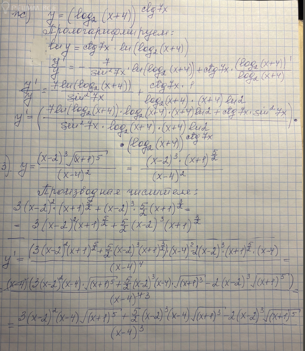
Найдите пожалуйста производные функций...
Условие
695ec0b5928b994c33a2415c
1/17/2026 1:51:20 PM
Найдите пожалуйста производные функций
математика ВУЗ
54
Решение
692ecb44a0211e4a1fadc32d
1/17/2026 10:01:45 PM
★
Написать комментарий
Меню
Решим всё
Найти задачу
Категории
Статьи
Тесты
Архив задач
Присоединяйся в ВК