а высота равна 3. Найдите расстояние между прямыми AB1 и BC1.
Пусть плоскость ED_(1)С_(1)В= α ,
в которой лежит одна из [i]скрещивающихся[/i] прямых ВС_(1)
и эта плоскость параллельна другой [i]скрещивающейся[/i] прямой АВ_(1)
[b]Расстояние [/b] между [i]скрещивающимися[/i] прямыми АВ_(1) и ВС_(1) равно расстоянию между прямой плоскостями АВ_(1) и плоскостью α
Это расстояние равно расстоянию от точки А до плоскости α
И поскольку А и С симметричны, то расстояние равно расстоянию от тоски С до плоскости α
Проводим СM ⊥ BE
Проводим СK ⊥ C_(1)М
СК - искомое расстояние
СТ=sqrt(3) CT ⊥ CC_(1)
C_(1)T=sqrt(3+9)=sqrt(12)=2sqrt(3)
CK=sqrt(3)*3/2sqrt(3)=3/2
2 способ
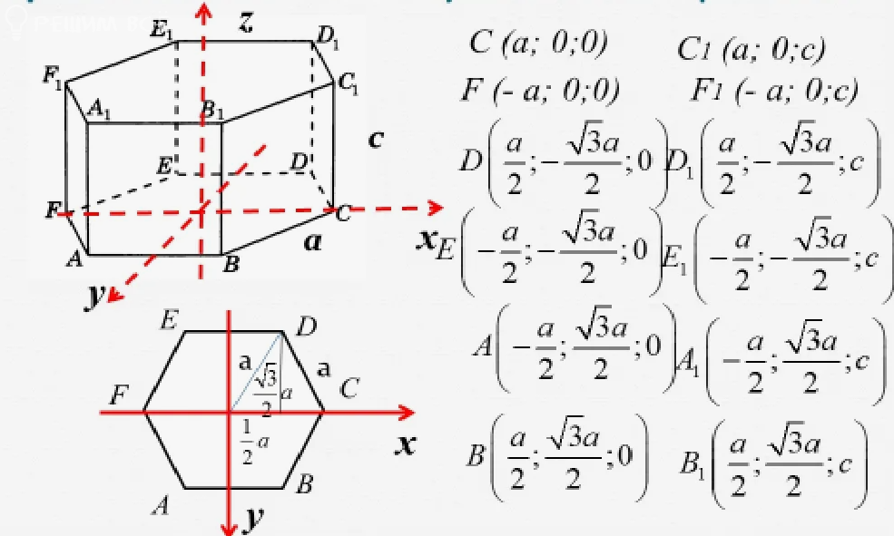
Решаем координатным методом. Вводим прямоугольную систему координат.
Пусть основание ABCDEF лежит в плоскости z = 0, а центр основания – в начале координат.
Для правильного шестиугольника со стороной 2, радиус описанной окружности R = 2.
Координаты вершин основания:
A(-1, sqrt(3), 0)
B(1, √3, 0)
C(2, 0, 0)
D(1, –√3, 0)
E(–1, –√3, 0)
F(–2, 0, 0)
Вершины верхнего основания получаем, прибавив высоту 3 к координате z:
A₁(-1; sqrt(3); 3), B₁(1; √3; 3), C₁(2; 0; 3) … .
Применяем формулы (скрин 2)
Уравнение плоскости С_(1)ВО:
ax+by+cz=0 ( плоскость проходит через начало координат
Подставляем координаты точек В(1;sqrt(3);0) и С_(1)(2;0;3)
в это уравнение
a*1+b*sqrt(3)+c*0=0 ⇒ b=-a/sqrt(3)
a*2+b*0+c*3=0 ⇒с=-2a/3
a*x-(a/sqrt(3))*y-(2a/3)*z=0
Делим на (a):
*х-(1/sqrt(3))*y-(2/3)z=0
[b]3x-sqrt(3)*y-2z=0[/b]
Подставляем координаты точки В_(1) (1;sqrt(3);3) в формулу ( см. скрин 2)
ρ =|3*1-sqrt(3)*sqrt(3)-2*3|/(sqrt(3^2+(-sqrt(3))^2+(-2)^2)
[i] ρ=6/4=3/2[/i]

