Задать свой вопрос
*более 50 000 пользователей получили ответ на «Решим всё»
Задача 80663
Срочно! Буду крайне благодарен!...
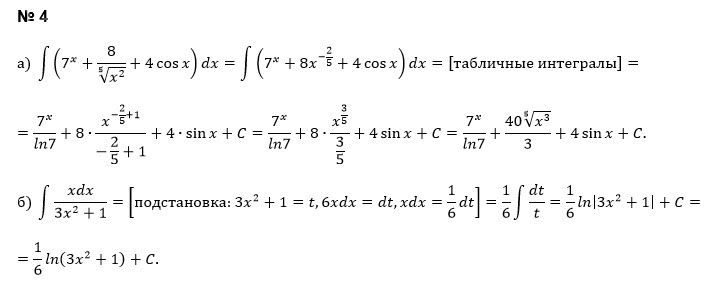
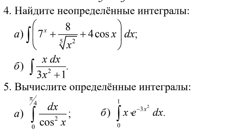
Условие
69434127fc938919023f4506
12/17/2025 11:49:32 PM
Срочно! Буду крайне благодарен!
математика ВУЗ
59
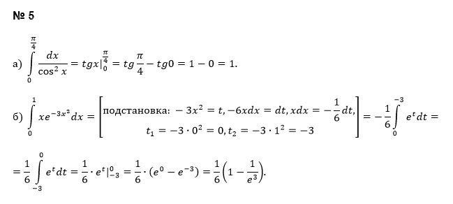
Решение
5f3eaa23faf909182968dde0
12/18/2025 6:57:02 AM
★
Написать комментарий
Меню
Решим всё
Найти задачу
Категории
Статьи
Тесты
Архив задач
Присоединяйся в ВК