Задать свой вопрос   *более 50 000 пользователей получили ответ на «Решим всё»

Задача 80567 Решите задания ...

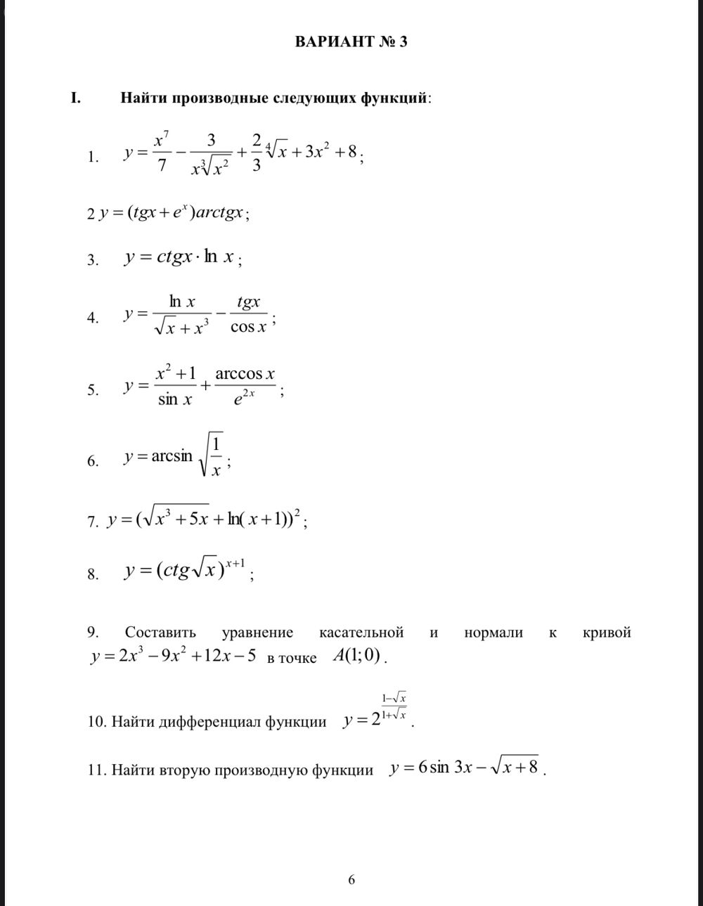
Условие

Решите задания

математика ВУЗ 53

Решение

1) [m]y = \frac{x^7}{7} - \frac{3}{x \sqrt[3]{x^2}} + \frac{2}{3} \sqrt[4]{x} + 3x^2 + 8 = \frac{x^7}{7} - 3x^{-5/3} + \frac{2}{3} x^{1/4} + 3x^2 + 8[/m]
[m]y' = \frac{7x^6}{7} - 3 \cdot (-\frac{5}{3}) x^{-8/3} + \frac{2}{3} \cdot \frac{1}{4} x^{-3/4} + 3 \cdot 2x =[/m]
[m]= x^6 + \frac{5}{x^2 \sqrt[3]{x^2}} + \frac{1}{6 \sqrt[4]{x^3}} + 6x[/m]

2) [m]y = (tg\ x + e^{x}) \cdot arctg\ x[/m]
[m]y' = (\frac{1}{\cos^2 x} + e^{x}) \cdot arctg\ x + ((tg\ x + e^{x})) \cdot \frac{1}{1+x^2}[/m]

3) [m]y = ctg\ x \cdot \ln x[/m]
[m]y' = -\frac{1}{\sin^2 x} \cdot \ln x + ctg\ x \cdot \frac{1}{x} = -\frac{\ln x}{\sin^2 x} + \frac{ctg\ x}{x}[/m]

4) [m]y = \frac{\ln x}{\sqrt{x} + x^3} - \frac{tg\ x}{\cos x}[/m]
[m]y' = \frac{1/x \cdot (\sqrt{x} + x^3) - \ln x \cdot (1/(2\sqrt{x}) + 3x^2)}{(\sqrt{x} + x^3)^2} - \frac{1/\cos^2 x \cdot \cos x - tg\ x (-\sin x)}{\cos^2 x} =[/m]
[m]= \frac{(\sqrt{x} + x^3)/x - \ln x \cdot (1/(2\sqrt{x}) + 3x^2)}{(\sqrt{x} + x^3)^2} - \frac{1/\cos x + tg\ x \sin x}{\cos^2 x}[/m]

5) [m]y = \frac{x^2+1}{\sin x} + \frac{arccos\ x}{e^{2x}}[/m]
[m]y' = \frac{2x \sin x - (x^2 + 1) \cos x}{\sin^2 x} + \frac{-1/\sqrt{1-x^2} \cdot e^{2x} - arccos\ x \cdot 2e^{2x}}{e^{4x}} =[/m]
[m]= \frac{2x \sin x - (x^2 + 1) \cos x}{\sin^2 x} - \frac{1/\sqrt{1-x^2} + 2arccos\ x}{e^{2x}}[/m]

6) [m]y = arcsin\ \sqrt{\frac{1}{x}} = arcsin\ x^{-1/2}[/m]
[m]y' = \frac{1}{\sqrt{1-1/x}} \cdot (-\frac{1}{2}) \cdot x^{-3/2} = -\frac{\sqrt{x}}{\sqrt{x-1}} \cdot \frac{1}{2x \sqrt{x}} =[/m]
[m]= -\frac{1}{\sqrt{x-1}} \cdot \frac{1}{2x} = -\frac{1}{2x\sqrt{x-1}}[/m]

7) [m]y = (\sqrt{x^3+5x} + \ln(x+1))^2[/m]
[m]y' = 2(\sqrt{x^3+5x} + \ln(x+1)) \cdot (\frac{3x^2+5}{2\sqrt{x^3+5x}} + \frac{1}{x+1})[/m]

8) [m]y= (ctg\ \sqrt{x})^{x+1}[/m]
[m]y' = (x+1) (ctg\ \sqrt{x})^{x} \bigg (- \frac{1}{\sin^2 \sqrt{x}} \cdot \frac{1}{2\sqrt{x}} \bigg ) + (ctg\ \sqrt{x})^{x+1} \ln|ctg\ \sqrt{x}|[/m]

9) Составить уравнение касательной и нормали к кривой
y = 2x^3 - 9x^2 + 12x - 5 в точке A(1; 0).
y(1) = 2*1^3 - 9*1^2 + 12*1 - 5 = 2 - 9 + 12 - 5 = 0
y' = 6x^2 - 18x + 12
y'(1) = 6*1^2 - 18*1 + 12 = 6 - 18 + 12 = 0
Уравнение касательной:
f(x) = y(x0) + y'(x0)*(x - x0) = 0 + 0*(x - 1) = 0
f(x) = 0
Касательная - это ось Ox.
Нормаль перпендикулярна к касательной - это ось Oy.
Уравнение нормали: x = 0

10) [m]\large y = 2^{\frac{1 - \sqrt{x}}{1 + \sqrt{x}}}[/m]
Производная:
[m]\large y' = \frac{dy}{dx} = 2^{\frac{1 - \sqrt{x}}{1 + \sqrt{x}}} \cdot \ln 2 \cdot \frac{-1/(2\sqrt{x}) \cdot (1 + \sqrt{x}) - 1/(2\sqrt{x}) \cdot (1 - \sqrt{x})}{(1 + \sqrt{x})^2} = [/m]
[m]\large = 2^{\frac{1 - \sqrt{x}}{1 + \sqrt{x}}} \cdot \ln 2 \cdot \frac{-1/(2\sqrt{x}) -1/2 - 1/(2\sqrt{x}) +1/2}{(1 + \sqrt{x})^2} =[/m]
[m]\large = 2^{\frac{1 - \sqrt{x}}{1 + \sqrt{x}}} \cdot \ln 2 \cdot \bigg (-\frac{1/\sqrt{x}}{(1 + \sqrt{x})^2} \bigg ) = -2^{\frac{1 - \sqrt{x}}{1 + \sqrt{x}}} \cdot \frac{\ln 2 }{\sqrt{x}(1 + \sqrt{x})^2}[/m]
Дифференциал:
[m]dy = -2^{\frac{1 - \sqrt{x}}{1 + \sqrt{x}}} \cdot \frac{\ln 2 }{\sqrt{x}(1 + \sqrt{x})^2} dx[/m]

11) [m]y = 6\sin 3x - \sqrt{x - 8}[/m]
Первая производная:
[m]y' = 6 \cdot 3 \cos 3x - \frac{1}{2\sqrt{x - 8}} = 18 \cos 3x - \frac{1}{2} \cdot (x - 8)^{-1/2}[/m]
Вторая производная:
[m]y'' = 18 \cdot 3(-\sin 3x) - \frac{1}{2} (-\frac{1}{2}) (x-8)^{-3/2} = -54\sin 3x + \frac{1}{4(x-8)^{3/2}}[/m]

Написать комментарий

Меню

Присоединяйся в ВК