Задать свой вопрос
*более 50 000 пользователей получили ответ на «Решим всё»
Задача 80509
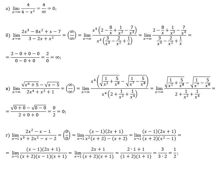
Помогите решить 3 задание ...
Условие
68e181a4d4282d71f8dd33b0
11/14/2025 6:51:44 AM
Помогите решить 3 задание
математика ВУЗ
53
Решение
5f3eaa23faf909182968dde0
11/14/2025 2:56:20 PM
★
Написать комментарий
Меню
Решим всё
Найти задачу
Категории
Статьи
Тесты
Архив задач
Присоединяйся в ВК