Задать свой вопрос
*более 50 000 пользователей получили ответ на «Решим всё»
Задача 80426
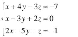
Решить методом Крамера, выполнить...
Условие
68cbce0345525b56e490c3c5
10/15/2025 11:38:28 AM
Решить методом Крамера, выполнить проверку
математика 10-11 класс
69
Решение
5f3eaa23faf909182968dde0
10/15/2025 5:27:57 PM
★
Написать комментарий
Меню
Решим всё
Найти задачу
Категории
Статьи
Тесты
Архив задач
Присоединяйся в ВК