Задать свой вопрос   *более 50 000 пользователей получили ответ на «Решим всё»

Задача 7997 ...

Условие

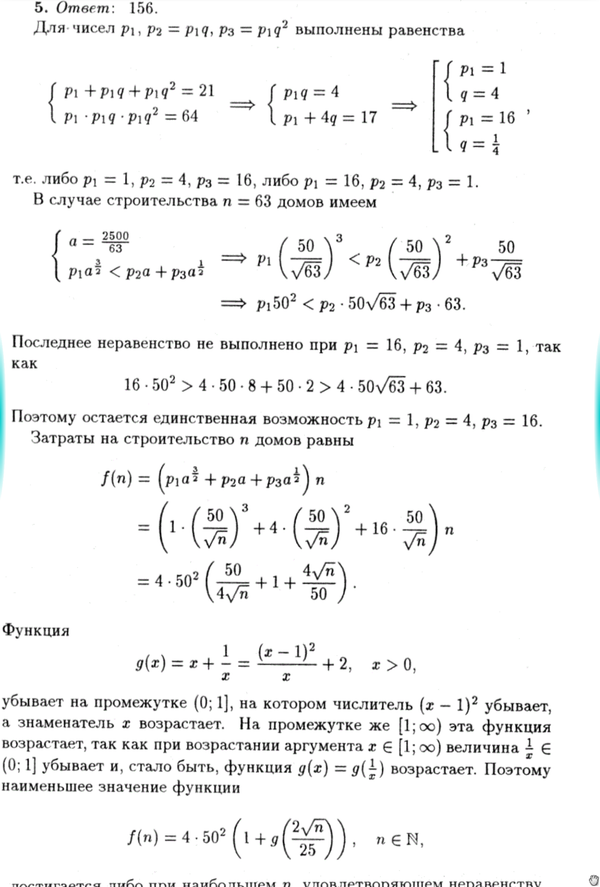
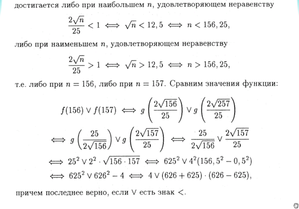
Строительной организации необходимо построить некоторое количество одинаковых домов общей площадью 2500 м^2. Стоимость одного дома площадью a м^2 складывается из стоимости материалов p1∗a^(3/2) тыс.руб, стоимости строительных работ p2∗a тыс.руб и стоимости отделочных работ p3∗a^(1/2) тыс.руб. Числа p1,p2,p3 являются последовательными членами геометрической прогрессии, их сумма равна 21, а их произведение равно 64. Если построить 63 дома, то затраты на материалы будут меньше, чем затраты на строительные и отделочные работы. Сколько следует построить домов, чтобы общие затраты были минимальными?

математика 10-11 класс 4474

Решение



Ответ: В решение

Все решения

Написать комментарий

Меню

Присоединяйся в ВК