Задать свой вопрос
*более 50 000 пользователей получили ответ на «Решим всё»
Задача 79901
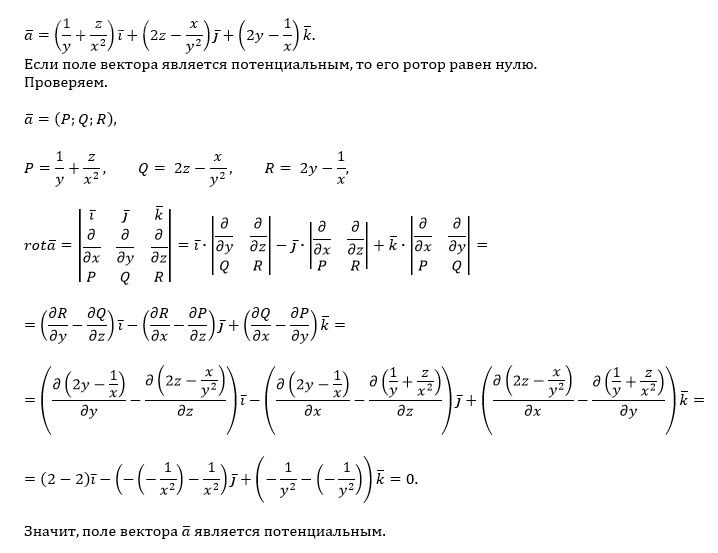
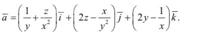
Показать, что поле вектора a является...
Условие
658677fcf6f382387af6dca2
5/16/2025 7:08:09 PM
Показать, что поле вектора a является потенциальным, найти его потенциал.
математика ВУЗ
88
Решение
5f3eaa23faf909182968dde0
5/17/2025 6:49:38 AM
★
Написать комментарий
Меню
Решим всё
Найти задачу
Категории
Статьи
Тесты
Архив задач
Присоединяйся в ВК