Задать свой вопрос
*более 50 000 пользователей получили ответ на «Решим всё»
Задача 79882
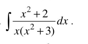
Вычислить интеграл от рациональной...
Условие
672457a75a00e67c51d40736
5/14/2025 9:25:40 AM
Вычислить интеграл от рациональной дроби.
математика ВУЗ
96
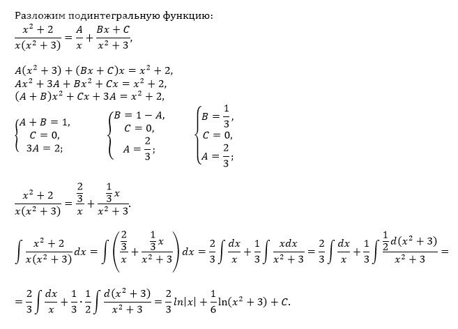
Решение
5f3eaa23faf909182968dde0
5/14/2025 5:38:31 PM
★
Написать комментарий
Меню
Решим всё
Найти задачу
Категории
Статьи
Тесты
Архив задач
Присоединяйся в ВК