Задать свой вопрос
*более 50 000 пользователей получили ответ на «Решим всё»
Задача 79874
...
Условие
672727b35a00e67c51d409ce
5/14/2025 12:38:14 PM
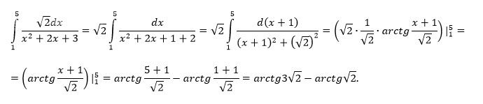
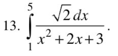
13. ∫[from 1 to 5] (√2 dx) / (x^2 + 2x + 3).
математика ВУЗ
86
Решение
5f3eaa23faf909182968dde0
5/14/2025 4:06:03 PM
★
Написать комментарий
Меню
Решим всё
Найти задачу
Категории
Статьи
Тесты
Архив задач
Присоединяйся в ВК