Задать свой вопрос
*более 50 000 пользователей получили ответ на «Решим всё»
Задача 79873
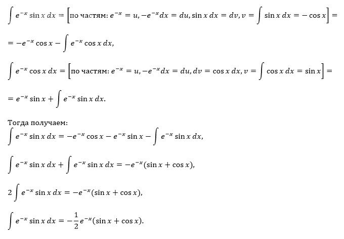
Вычислить интеграл методом...
Условие
63bc390595b1ce4e3210bea0
5/14/2025 12:36:51 PM
Вычислить интеграл методом интегрирования по
частям.
математика ВУЗ
65
Решение
5f3eaa23faf909182968dde0
5/14/2025 4:21:55 PM
★
Написать комментарий
Меню
Решим всё
Найти задачу
Категории
Статьи
Тесты
Архив задач
Присоединяйся в ВК