Задать свой вопрос
*более 50 000 пользователей получили ответ на «Решим всё»
Задача 79858
...
Условие
675ab27187aa81739148baf3
5/12/2025 8:38:36 PM
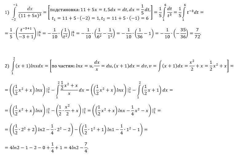
∫ from -2 to -1 (dx / (11 + 5x)^3), ∫ from 1 to 2 ((x + 1) ln x dx)
116
Решение
5f3eaa23faf909182968dde0
5/13/2025 11:16:24 AM
★
Написать комментарий
Меню
Решим всё
Найти задачу
Категории
Статьи
Тесты
Архив задач
Присоединяйся в ВК