(1 балл) Найдите первые пять членов последовательности:
1) yn = 3 * (-1/2)^(n-1);
2) y1 = 4, yn+1 = yn * 2/3;
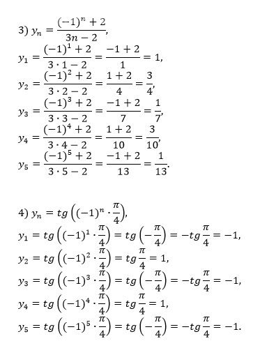
3) yn = (-1)^(n+2) / (3n-2);
4) yn = tg ((-1)^n * π/4).
Выясните, какая (-ие) из данных последовательностей является (-ются) бесконечно убывающей геометрической прогрессией.
