Задать свой вопрос   *более 50 000 пользователей получили ответ на «Решим всё»

Задача 79838 ...

Условие

Задание №1

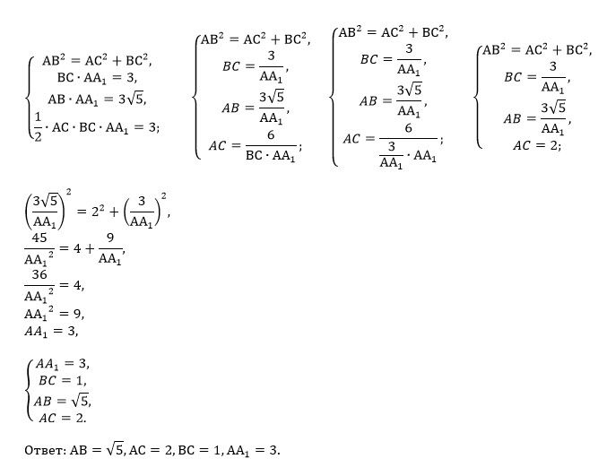
(1 балл) Объём прямой призмы, основанием которой является прямоугольный треугольник, равен 3, а наименьшая и наибольшая из площадей боковых граней равны 3 и 3√5 соответственно. Найдите длины рёбер призмы.

197

Решение

Написать комментарий

Меню

Присоединяйся в ВК