Задать свой вопрос
*более 50 000 пользователей получили ответ на «Решим всё»
Задача 79823
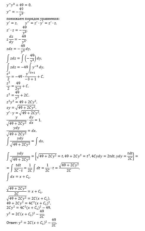
y"y^3+49=0...
Условие
681514e41f22c00d85a4e459
5/2/2025 6:55:38 PM
y"y^3+49=0
математика ВУЗ
114
Решение
5f3eaa23faf909182968dde0
5/3/2025 12:35:55 PM
★
Написать комментарий
Меню
Решим всё
Найти задачу
Категории
Статьи
Тесты
Архив задач
Присоединяйся в ВК