Задать свой вопрос
*более 50 000 пользователей получили ответ на «Решим всё»
Задача 79800
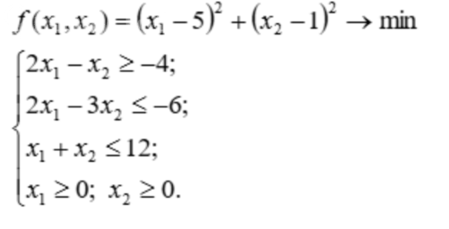
Решить геометрическую интерпретацию...
Условие
66df800c5974c737d581217c
4/28/2025 4:08:02 PM
Решить геометрическую интерпретацию нелинейного программирования
математика ВУЗ
222
Решение
5f3eaa23faf909182968dde0
4/28/2025 10:00:14 PM
★
Написать комментарий
Меню
Решим всё
Найти задачу
Категории
Статьи
Тесты
Архив задач
Присоединяйся в ВК