Задать свой вопрос
*более 50 000 пользователей получили ответ на «Решим всё»
Задача 79755
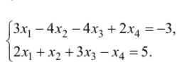
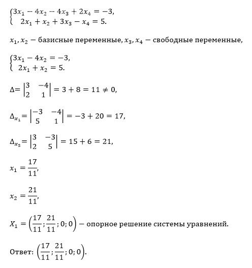
Найти опорное решение системы линейных...
Условие
658677fcf6f382387af6dca2
4/22/2025 2:08:15 AM
Найти опорное решение системы линейных уравнений методом искусственного базиса
математика ВУЗ
123
Решение
5f3eaa23faf909182968dde0
4/22/2025 3:53:43 AM
★
Написать комментарий
Меню
Решим всё
Найти задачу
Категории
Статьи
Тесты
Архив задач
Присоединяйся в ВК