Задать свой вопрос   *более 50 000 пользователей получили ответ на «Решим всё»

Задача 79751 Нужно решить задачу 4,20 4. Найти...

Условие

Нужно решить задачу 4,20


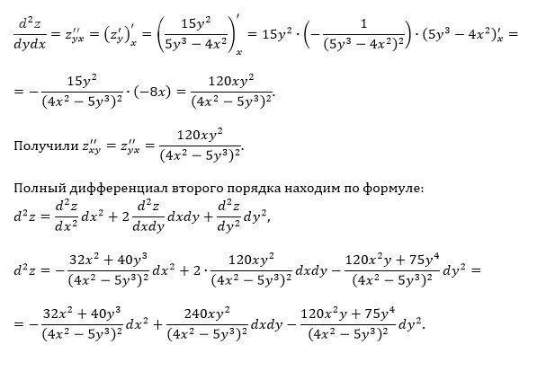
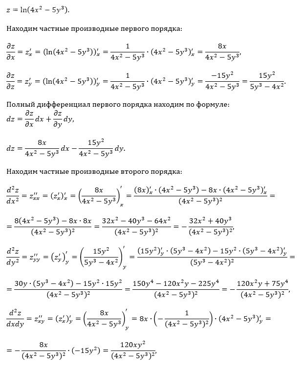
4. Найти частные производные второго порядка функции z = f(x, y).
Убедиться в том, что zxy = zyx. Найти дифференциалы первого и второго по-
рядков.

114

Решение

Написать комментарий

Меню

Присоединяйся в ВК