Задать свой вопрос   *более 50 000 пользователей получили ответ на «Решим всё»

Задача 79660 Вычисление определенного интеграла...

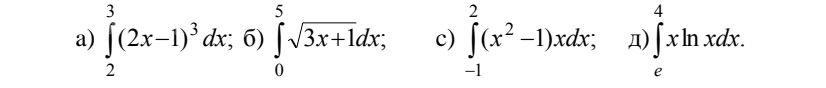
Условие

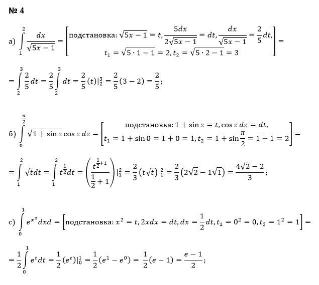
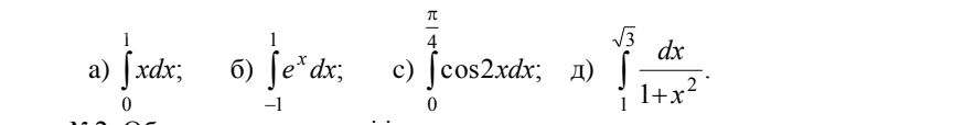
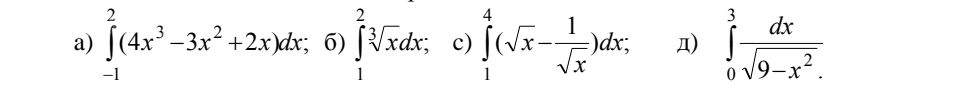
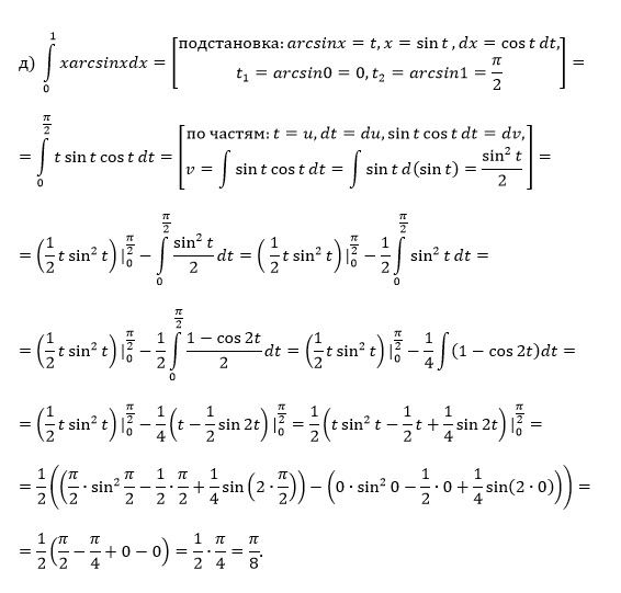
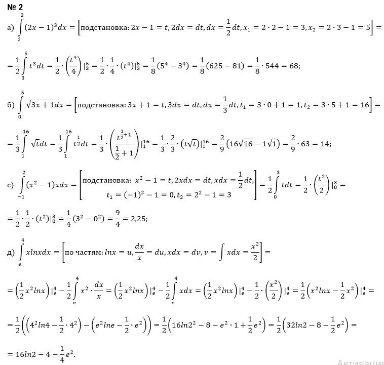
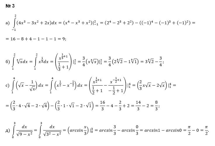
Вычисление определенного интеграла напрямую, заменой переменных и интегрирование частями.
хотя бы с двух фото

математика 10-11 класс 95

Решение

Написать комментарий

Меню

Присоединяйся в ВК