Задать свой вопрос   *более 50 000 пользователей получили ответ на «Решим всё»

Задача 7964 ...

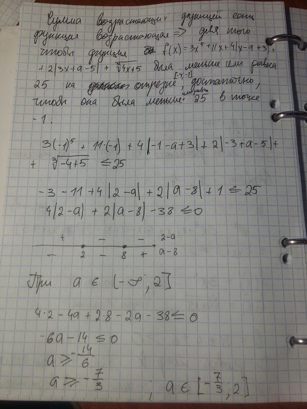
Условие

Найдите все значения параметра а, при каждом из которых неравенство 3x^5+11x+4|x-a+3|+2|3x+a-5|+∛(4x+5)≤25 выполняется для всех значений х на отрезке [-4; -1]

математика 10-11 класс 8000

Все решения

Решение на фото,но это не точно:)

Написать комментарий

Меню

Присоединяйся в ВК