Задать свой вопрос
*более 50 000 пользователей получили ответ на «Решим всё»
Задача 79588
Здравствуйте, прошу помочь решить,...
Условие
67d79e4b8077d863e9bb9b4f
3/17/2025 3:16:37 PM
Здравствуйте, прошу помочь решить, нужно 2 3 и 4 пример
математика 10-11 класс
100
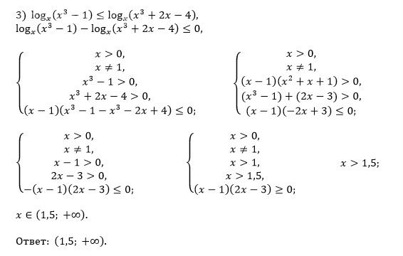
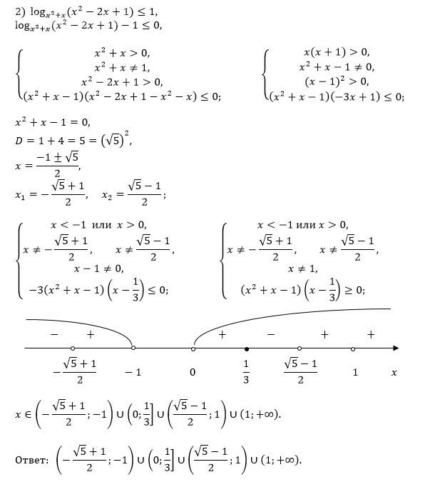
Решение
5f3eaa23faf909182968dde0
3/17/2025 4:33:45 PM
★
Написать комментарий
Меню
Решим всё
Найти задачу
Категории
Статьи
Тесты
Архив задач
Присоединяйся в ВК