Задать свой вопрос
*более 50 000 пользователей получили ответ на «Решим всё»
Задача 79574
...
Условие
675ab27187aa81739148baf3
3/10/2025 3:02:43 PM
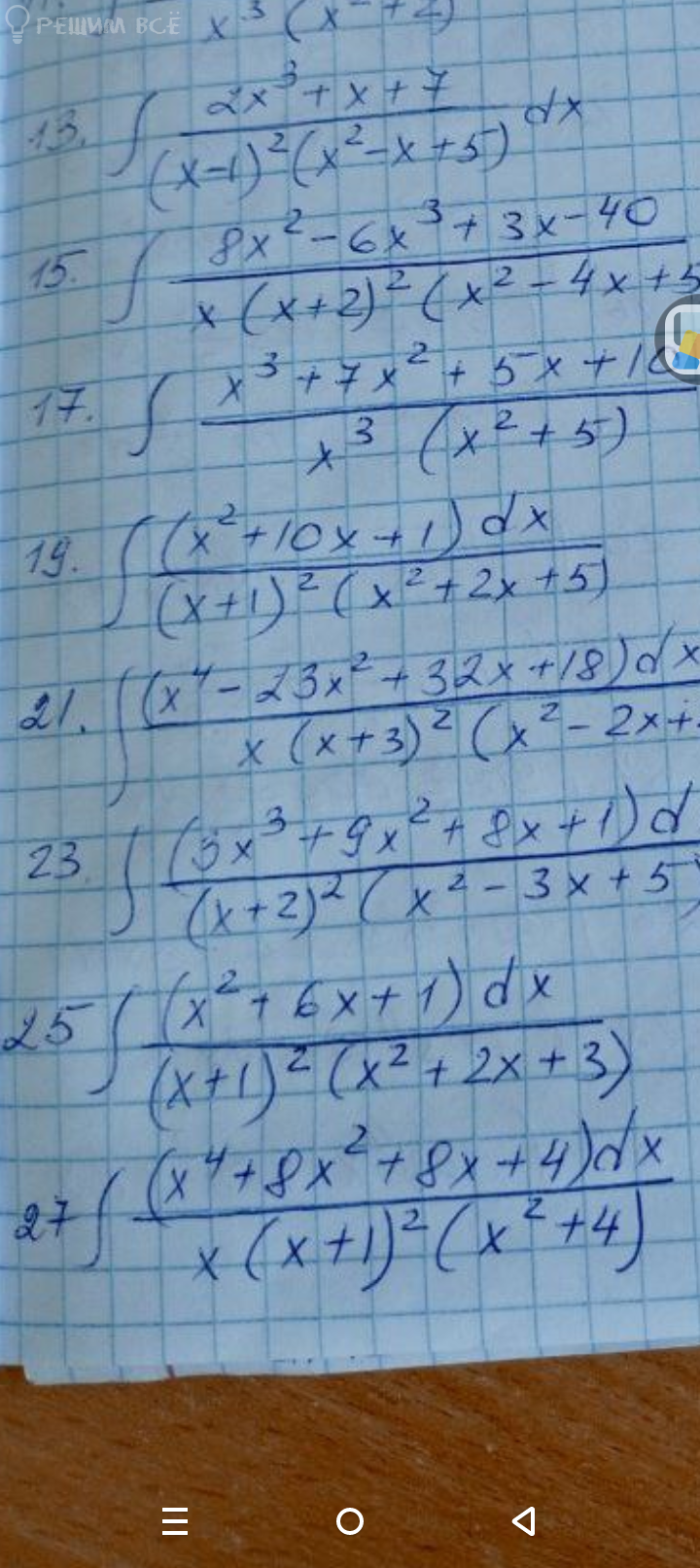
Нужно решить задачу 27
27. ∫ (x^4 + 8x^2 + 8x + 4) / (x(x+1)^2(x^2 + 4)) dx
119
Решение
5f3eaa23faf909182968dde0
3/10/2025 4:40:30 PM
★
Написать комментарий
Меню
Решим всё
Найти задачу
Категории
Статьи
Тесты
Архив задач
Присоединяйся в ВК