Задать свой вопрос
*более 50 000 пользователей получили ответ на «Решим всё»
Задача 79573
...
Условие
675ab27187aa81739148baf3
3/10/2025 3:02:21 PM
Нужно решить задачу 27
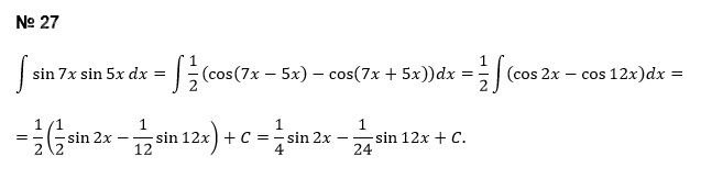
27) ∫ sin7x sin5x dx
70
Решение
5f3eaa23faf909182968dde0
3/10/2025 5:15:44 PM
★
Написать комментарий
Меню
Решим всё
Найти задачу
Категории
Статьи
Тесты
Архив задач
Присоединяйся в ВК