Задать свой вопрос   *более 50 000 пользователей получили ответ на «Решим всё»

Задача 79572 Решите матрицы, надо найти обратную...

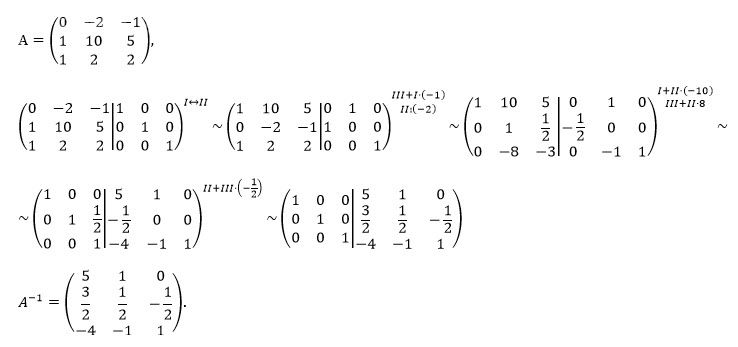
Условие

Решите матрицы, надо найти обратную матрицу А-1, с помощью присоединенной матрицы(все написано на картинке ниже), буду очень признателен

математика ВУЗ 123

Решение

Написать комментарий

Меню

Присоединяйся в ВК