Задать свой вопрос
*более 50 000 пользователей получили ответ на «Решим всё»
Задача 79552
...
Условие
6654737b3528112db82d8cf9
3/10/2025 2:59:20 PM
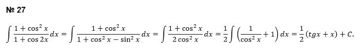
27) ∫ (1 + cos²x) / (1 + cos 2x) dx
125
Решение
5f3eaa23faf909182968dde0
3/10/2025 5:25:04 PM
★
Написать комментарий
Меню
Решим всё
Найти задачу
Категории
Статьи
Тесты
Архив задач
Присоединяйся в ВК