Задать свой вопрос
*более 50 000 пользователей получили ответ на «Решим всё»
Задача 79548
...
Условие
675ab27187aa81739148baf3
3/10/2025 1:36:28 PM
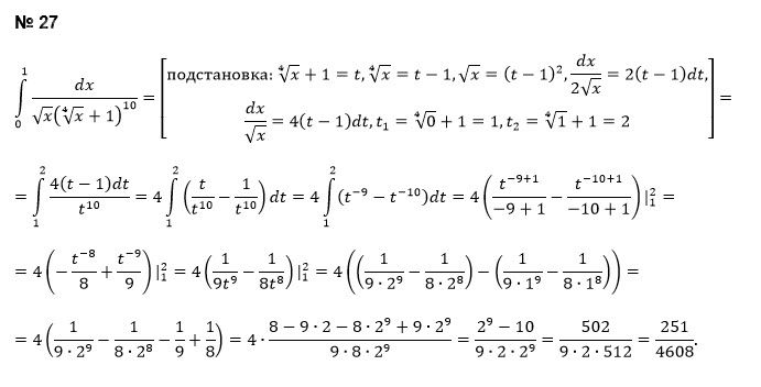
27. ∫ от 0 до 1 dx / (√x (4x+1)^10)
123
Решение
5f3eaa23faf909182968dde0
3/10/2025 2:11:47 PM
★
Написать комментарий
Меню
Решим всё
Найти задачу
Категории
Статьи
Тесты
Архив задач
Присоединяйся в ВК