Задать свой вопрос
*более 50 000 пользователей получили ответ на «Решим всё»
Задача 79547
...
Условие
675ab27187aa81739148baf3
3/10/2025 1:36:01 PM
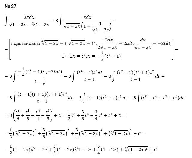
27 ∫ 3x dx / √(1-2x) - 4√(1-2x)
87
Решение
5f3eaa23faf909182968dde0
3/10/2025 2:52:42 PM
★
Написать комментарий
Меню
Решим всё
Найти задачу
Категории
Статьи
Тесты
Архив задач
Присоединяйся в ВК