Задать свой вопрос
*более 50 000 пользователей получили ответ на «Решим всё»
Задача 79541
...
Условие
675ab27187aa81739148baf3
3/6/2025 2:27:58 PM
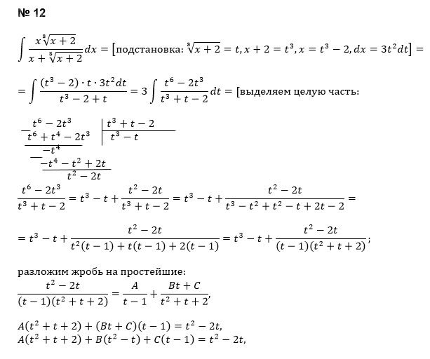
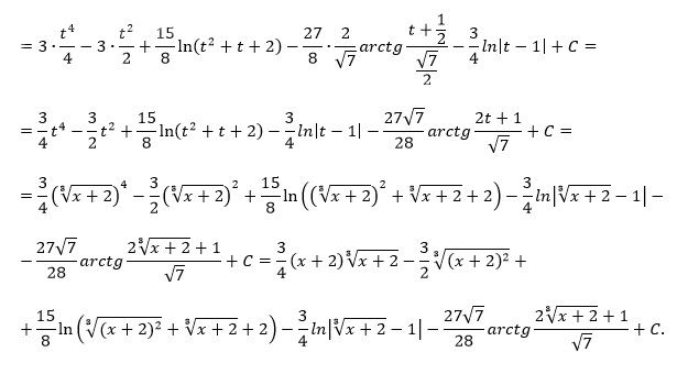
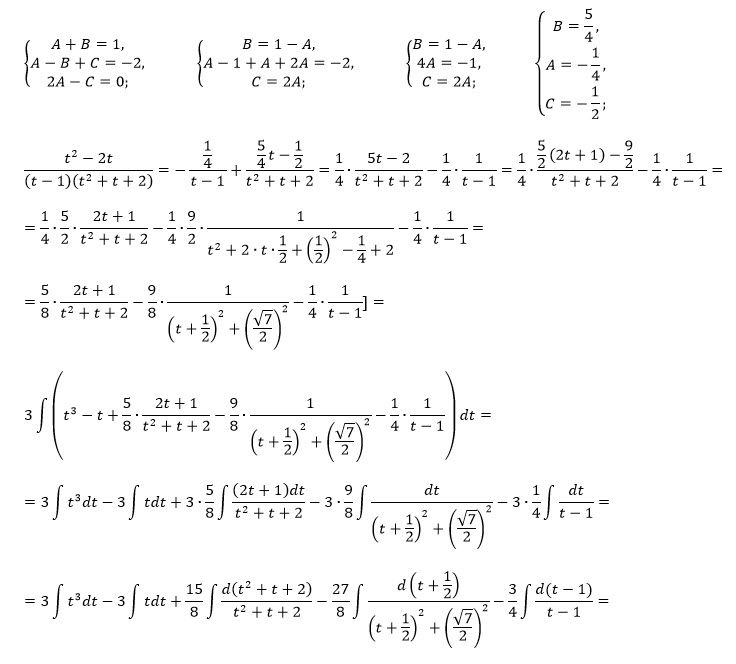
12 ∫ (x^3 √(x + 2)) / (x + 3√(x + 2)) dx
91
Решение
5f3eaa23faf909182968dde0
3/6/2025 7:44:47 PM
★
Написать комментарий
Меню
Решим всё
Найти задачу
Категории
Статьи
Тесты
Архив задач
Присоединяйся в ВК