Задать свой вопрос   *более 50 000 пользователей получили ответ на «Решим всё»

Задача 79471 Найдите объем тела, полученного от...

Условие

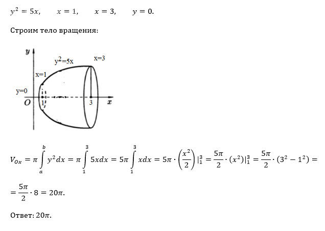
Найдите объем тела, полученного от вращения вокруг оси OX площади, ограниченной линиями: y^2=5x; x=1; x=3; y=0. С графиком и ответом

математика колледж 140

Решение

Написать комментарий

Меню

Присоединяйся в ВК