Задать свой вопрос   *более 50 000 пользователей получили ответ на «Решим всё»

Задача 794 Найдите наибольшее значение функции...

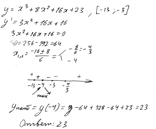
Условие

Найдите наибольшее значение функции y=x^3+8x^2+16x+23 на отрезке [-13;-3]

математика 10-11 класс 42962

Решение

Стандартный алгоритм, берем производную, находим экстремумы, подставляем, находим наибольшее.

Ответ: 23

Вопросы к решению (2)

Написать комментарий

Меню

Присоединяйся в ВК