Задать свой вопрос   *более 50 000 пользователей получили ответ на «Решим всё»

Задача 793 a) Решите уравнение...

Условие

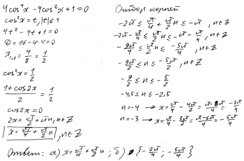
a) Решите уравнение 4cos^4x-4cos^2x+1=0
б) Найдите все корни этого уравнения, принадлежащие отрезку [-2Pi;-Pi]

математика 10-11 класс 133026

Решение

Делаем замену и получается квадратное уравнение, а потом понижаем степень.

Ответ: В решение

Вопросы к решению (2)

Написать комментарий

Меню

Присоединяйся в ВК