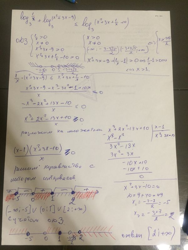
Решите неравенство log3(1/x)+log3(x^2+3x-9) меньше или равно log3(x^2+3x+1/x-10)
Аргумент у второго логарифма больше нуля. Где его решение?
Справа после стрелки написано
не совсем понятно,Как из x3+2·x2–13·x+10=0 получить (x–1)·(x2+3·x–10)
формула сокращенного умножения
это не формула сокращенного умножения, это деление кубического многочлена в столбик на множитель (x-1), а то, что 1 является корнем видно из суммы коэффициентов многочлена (она =0). Но решение третьего неравенства из ОДЗ нигде не фигурирует.
а где решение для x^2 +3x+1/x-10 > 0?
Почему в ОДЗ x не равен нулю?
Вопрос с ОДЗ.Почему получилось х > 1?
В третьем неравенстве при нахождении ОДЗ почему получилось, что х > 1?
Не верно.Вы правы.
Как при ОДЗ посчитать Х^2+3x=1/x+10?