Задать свой вопрос
*более 50 000 пользователей получили ответ на «Решим всё»
Задача 78985
...
Условие
676055d981699f399ffe4a1b
12/16/2024 4:34:04 PM
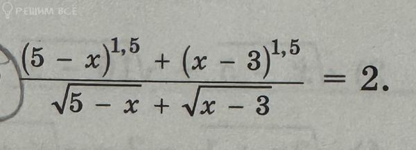
(5 - x)^1,5 + (x - 3)^1,5
------------------------ = 2.
√5 - x + √x - 3
10-11 класс
96
Решение
5f3eaa23faf909182968dde0
12/17/2024 6:01:12 PM
★
Написать комментарий
Меню
Решим всё
Найти задачу
Категории
Статьи
Тесты
Архив задач
Присоединяйся в ВК