Задать свой вопрос
*более 50 000 пользователей получили ответ на «Решим всё»
Задача 7883
Решить неравенство...
Условие
TatyanaKazarceva
18.03.2016
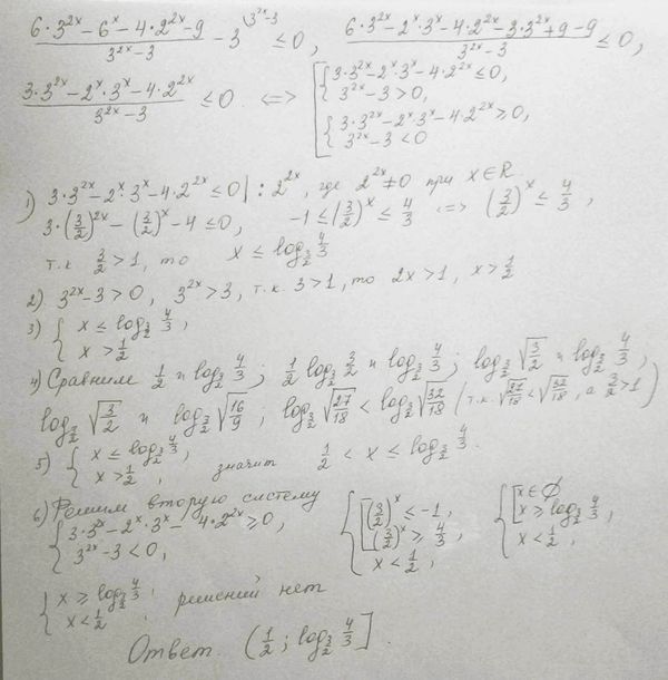
Решить неравенство (2*3^(2x+1)-6^x-4^(x+1)-9)/(9^x-3) меньше или равно 3
математика 10-11 класс
14152
Решение
vygar
18.03.2016
★
Написать комментарий
Меню
Решим всё
Найти задачу
Категории
Статьи
Тесты
Архив задач
Присоединяйся в ВК