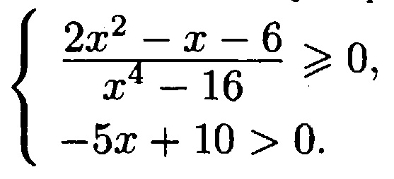
D=1-4•2•(-6)=49
х1=(1-7)/4=-1,5
х2=(1+7)/4=2
2х^2-х-6=(х-2)(2х+3)
Разложим знаменатель на множители: x^4-16=(x^2-4)(x^2+4)=(x-2)(x+2)(x^2+4)
Получаем неравенство: (х-2)(2х+3)/(x-2)(x+2)(x^2+4)≥0 => (2x+3)/(x+2)(x^2+4)≥0, х≠0. Приравняем дробь к 0. (2x+3)/(x+2)(x^2+4)=0. Дробь равна 0, когда числитель равен 0, а знаменатель не равен 0.2х+3=0 и х+2≠0 => x=-1,5 и x≠-2. Нанесем точки на числовую прямую. Выберем промежутки со знаком +.
Решим второе неравенство. -5х>-10 => x<2. Совместим решения двух неравенств на одной числовой прямой. Решением будут являться промежутки (-∞;-2)⋃[-1,5;2)
Ответ: (-∞;-2)⋃[-1,5;2)