Задать свой вопрос   *более 50 000 пользователей получили ответ на «Решим всё»

Задача 778 Потенциал электрического поля точечного...

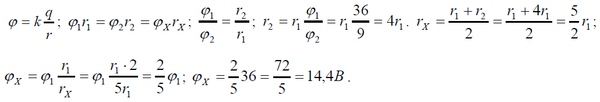
Условие

Потенциал электрического поля точечного заряда в точке 1 36В, а в точке 2 9В. Найдите потенциал электрического поля в точке, лежащей посередине между точками 1 и 2.

физика 10-11 класс 5945

Решение



Ответ: 14,4 В

Написать комментарий

Меню

Присоединяйся в ВК