Задать свой вопрос   *более 50 000 пользователей получили ответ на «Решим всё»

Задача 77237 ...

Условие

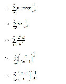
[b]Исследовать сходимость рядов:[/b]

2.1 ∑ n=1 to ∞ n arctg 1/n^2

2.2 ∑ n=1 to ∞ sin 1/n^2

2.3 ∑ n=1 to ∞ 2^n n!/n^2

2.4 ∑ n=1 to ∞ (n/(3n+1))^n/2

2.5 ∑ n=1 to ∞ (n+1)/n * 1/5^n

математика ВУЗ 181

Решение

2.1 и 2.2 не знаю, как решать.

2.3. По признаку Даламбера.
[m]\lim \limits_{n \to \infty} \frac{a(n+1)}{a(n)} = \lim \limits_{n \to \infty} \frac{2^{n+1}(n+1)!}{(n+1)^{n+1}} : \frac{2^{n}n!}{n^{n}} = \lim \limits_{n \to \infty} \frac{2^{n+1}}{2^{n}} \cdot \frac{(n+1)!}{n!} \cdot \frac{n^{n}}{(n+1)^{n+1}} = [/m]
[m]= \lim \limits_{n \to \infty} 2 \cdot (n+1) \cdot \frac{n^{n}}{(n+1)^{n} (n+1)} = \lim \limits_{n \to \infty} \frac{2n^{n}}{(n+1)^{n}} = 2\lim \limits_{n \to \infty} (\frac{n}{n+1})^{n} =[/m]
[m]= 2\lim \limits_{n \to \infty} (1 - \frac{1}{n+1})^{n} = 2e^{-1} = \frac{2}{e} ≈ \frac{2}{2,718} < 1[/m]
Если [m]\lim \limits_{n \to \infty} \frac{a(n+1)}{a(n)} < 1[/m], то ряд сходится.

2.4. По признаку Коши
[m]\lim \limits_{n \to \infty} \sqrt[n]{a(n)} = \lim \limits_{n \to \infty} \sqrt[n]{(\frac{n}{3n+1})^{n/2}} = \lim \limits_{n \to \infty} (\frac{n}{3n+1})^{1/2} =[/m]
[m]= \lim \limits_{n \to \infty} \sqrt{\frac{n}{3n+1}} = \sqrt{\frac{1}{3}} < 1[/m]
Если [m]\lim \limits_{n \to \infty} \sqrt[n]{a(n)} < 1[/m], то ряд сходится.

2.5. По признаку Коши
[m]\lim \limits_{n \to \infty} \sqrt[n]{a(n)} = \lim \limits_{n \to \infty} \sqrt[n]{(\frac{n+1}{n})^{n} \frac{1}{5^{n}}} = \lim \limits_{n \to \infty} \frac{n+1}{n} \cdot \frac{1}{5} = 1 \cdot \frac{1}{5} = \frac{1}{5} < 1[/m]
Если [m]\lim \limits_{n \to \infty} \sqrt[n]{a(n)} < 1[/m], то ряд сходится.

Написать комментарий

Меню

Присоединяйся в ВК