Задать свой вопрос   *более 50 000 пользователей получили ответ на «Решим всё»

Задача 772 По двум параллельным металлическим...

Условие

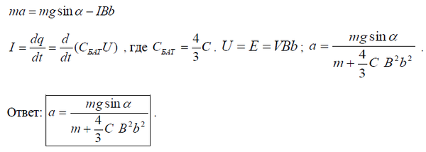
По двум параллельным металлическим направляющим, наклоненным под углом а к горизонту и расположенным на расстоянии b друг от друга, скользит без трения металлическая перемычка массы m. Направляющие замкнуты снизу на батарею конденсаторов, емкость каждого из которых равна C. Вся конструкция находится в магнитном поле, индукция которого B направлена перпендикулярно плоскости, в которой перемещается перемычка. Определите ускорение перемычки. Сопротивлением направляющих, перемычки и индуктивностью контура пренебречь.

физика 10-11 класс 6578

Решение



Ответ: В решение

Написать комментарий

Меню

Присоединяйся в ВК