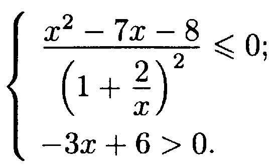
(x^2-7x-8)/(1+2/x)^2≤0.
Приравняем дробь к 0.
(x^2-7x-8)/(1+2/x)^2=0. Дробь равна 0, когда числитель равен 0, а знаменатель не равен 0.
x^2-7x-8=0
найдем дискриминант: D=b^2-4ac=(-7)^2-4•1•(-8)=49+32=81
x1=(-b-√D)/(2a)=(7-9)/2=-1
x2=(-b+√D)/(2a)=(7+9)/2=8
(1+2/x)^2≠0 =>1+2/x≠0 => 2/x≠-1 => x≠-2, х≠0
Нанесем полученные значения на числовую прямую. Выбираем промежуток со знаком минус, исключаем точки 0 и 2. Решением первого неравенства является промежуток [-1;0)⋃(0;2)⋃(2;8].
Решим второе неравенство:
-3х+6>0
-3x>-6
x<2 (при делении на отрицательное число знак неравенства меняется на противоположный).
Совместим решения двух неравенств на одной числовой прямой. Выбираем промежуток с двойной штриховкой. Решением является промежуток [-1;0)⋃(0;2).
Ответ: [-1;0)⋃(0;2)