Задать свой вопрос   *более 50 000 пользователей получили ответ на «Решим всё»

Задача 7665 Решить системы...

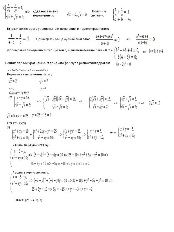
Условие

Решить системы уравнений.

system{1/sqrt(x)+1/sqrt(y)=1; sqrt(x)+sqrt(y)=4}

system{x-y=16; sqrt(x)-sqrt(y)=2}

system{x^2+xy=30; y^2+xy=15}

математика 10-11 класс 3060

Решение

Решение на картинке

Написать комментарий

Меню

Присоединяйся в ВК