Задать свой вопрос
*более 50 000 пользователей получили ответ на «Решим всё»
Задача 76222
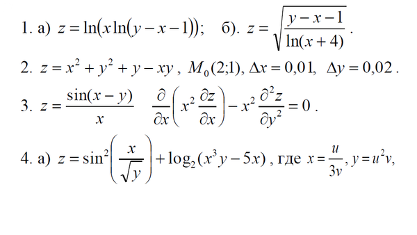
Показать, что заданная функция z = f (x,...
Условие
64c75b82b635261bba022a6f
3/11/2024 11:35:46 AM
Показать, что заданная функция z = f (x, y)
удовлетворяет данному уравнению. на фото №3
математика ВУЗ
140
Решение
5f3eaa23faf909182968dde0
3/11/2024 1:27:47 PM
★
Написать комментарий
Меню
Решим всё
Найти задачу
Категории
Статьи
Тесты
Архив задач
Присоединяйся в ВК