Задать свой вопрос
*более 50 000 пользователей получили ответ на «Решим всё»
Задача 75947
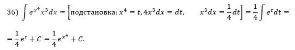
вычислить интегралы ...
Условие
658677fcf6f382387af6dca2
2/21/2024 12:30:07 PM
вычислить интегралы
математика ВУЗ
139
Решение
5f3eaa23faf909182968dde0
2/21/2024 3:05:56 PM
★
Написать комментарий
Меню
Решим всё
Найти задачу
Категории
Статьи
Тесты
Архив задач
Присоединяйся в ВК