Задать свой вопрос
*более 50 000 пользователей получили ответ на «Решим всё»
Задача 7568
Найдите наибольшее значение функции...
Условие
Lora
09.03.2016
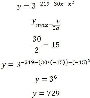
Найдите наибольшее значение функции y=3^(-219-30x-x^2)
математика 10-11 класс
6420
Решение
Ответ:
729
Ошибки в решение (1)
Автор сообщения:
SOVA
у(max)=-(-30)/(-2)=-15
Написать комментарий
Меню
Решим всё
Найти задачу
Категории
Статьи
Тесты
Архив задач
Присоединяйся в ВК