Задать свой вопрос   *более 50 000 пользователей получили ответ на «Решим всё»

Задача 7456 Постройте график функции и определите,...

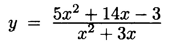
Условие

Постройте график функции и определите, при каких значениях а прямая у = а не имеет с графиком ни одной общей точки

математика 8-9 класс 3973

Решение

Разложим числитель на множители: 5х^2+14x-3=0
D=196+4*5*3=256
x1=(-14-16)/10=-3; x2=(-14+16)/10=0,2
5х^2+14x-3=5(x-0,2)(x+3)=(5x-1)(x+3). Сократим числитель и знаменатель на х+3. Получим функцию у=(5х-1)/х. Почленно разделим на х: у=5-1/х, х≠-3- обратная пропорциональность, график гипербола, ветви расположены во 2 и 4 четвертях, сдвиг графика вверх на 5 единиц.
Прямая у=а параллельна оси ОХ. Не имеет общих точек с графиком функции при а =5 и
а=5 1/3


Ответ: 5, 5 1/3

Написать комментарий

Меню

Присоединяйся в ВК