Задать свой вопрос   *более 50 000 пользователей получили ответ на «Решим всё»

Задача 744 Груз массы m = 1 кг подвешен на пружине...

Условие

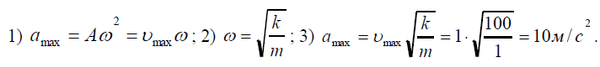
Груз массы m = 1 кг подвешен на пружине жeсткости k = 100 Н/ м. В положении равновесия грузу толчком сообщают в вертикальном направлении скорость v = 1 м/с . Определите модуль максимального ускорения а груза при его дальнейшем движении.

физика 10-11 класс 4247

Решение



Ответ: 10 м/c^2

Написать комментарий

Меню

Присоединяйся в ВК