Задать свой вопрос   *более 50 000 пользователей получили ответ на «Решим всё»

Задача 7397 а) Решите уравнение...

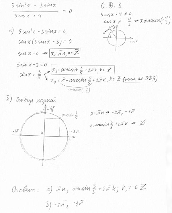
Условие

а) Решите уравнение (5sin^2x-3sinx)/(5cosx+4)=0
б) Найдите все корни этого уравнения, принадлежащие отрезку [-7Pi/2; -2Pi]

математика 10-11 класс 57099

Решение



Ответ: В решение

Вопросы к решению (1)

Написать комментарий

Меню

Присоединяйся в ВК