Задать свой вопрос   *более 50 000 пользователей получили ответ на «Решим всё»

Задача 739 С вершины башни, высотой 125 м, бросили...

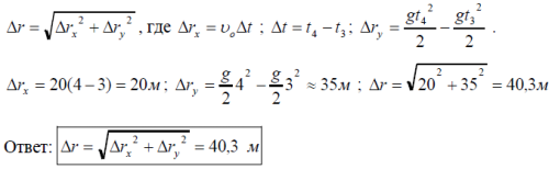
Условие

С вершины башни, высотой 125 м, бросили мяч в горизонтальном направлении со
скоростью 20 м/c. Пренебрегая сопротивлением воздуха, найдите модуль вектора
перемещения мяча за четвертую секунду пол?та.

физика 10-11 класс 6633

Решение



Ответ: 40,3 м

Вопросы к решению (1)

Написать комментарий

Меню

Присоединяйся в ВК