Задать свой вопрос   *более 50 000 пользователей получили ответ на «Решим всё»

Задача 737 Чему равен коэффициент преломления...

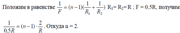
Условие

Чему равен коэффициент преломления стекла, из которого изготовлена симметричная собирающая линза, если фокусное расстояние этой линзы равно половине радиуса кривизны ее поверхностей?

физика 10-11 класс 2914

Решение



Ответ: 2

Написать комментарий

Меню

Присоединяйся в ВК